U9彩票在热解炭织态结构形成机理方面的研究取得进展
U9彩票多相复杂系统国家重点实验室张伟刚研究员与德国卡尔斯鲁厄理工大学(KIT)O.Deutschmann教授、B.Reznik博士等合作,对热解炭织态结构的形成机理进行了长期研究,并于近期取得进展,发现了石墨烯面内原子缺陷在诱导生长并最终生成热解炭二维材料特定织态结构中的关键作用。研究成果发表在Z. Angew. Math. Mech.93(5):329-337(2013)和Z. Angew. Math. Mech.93(5):338-345(2013)。
热解炭中多层石墨烯在空间中以不同的量化程度相互取向从而形成特定的织态结构,是决定热解炭、气相生成纳米炭纤维和炭基复合材料力学、导热、导电等性能的重要因素。在化学气相沉积过程中,织态结构的形成是受表面化学反应-扩散共同影响以及石墨烯形核-生长模式转变而发生的复杂现象,其形成机理特别是在稳定化工操作过程中发生的结构突变,一直是本领域研究中的难点。中、德科研人员通过采用“窄缝化学气相沉积反应技术”制备了一系列具有确定织态结构的热解炭和炭/炭复合材料,采用高温X衍射、激光探针拉曼光谱等分析技术,建立了石墨烯层间热膨胀系数与织态结构的变化关系(
,a:石墨烯层间热膨胀系数,kb:波尔茨曼常数,r0:石墨单晶d002层间距0.3354nm,g和f分别第三和第四阶石墨烯层间原子间作用力常数),发现低织构热解炭(正交偏光消光角Ae=10o)中石墨烯层间热膨胀系数为 2.02*10-5 K-1,而高织构热解炭(正交偏光消光角Ae=22o ) 层间热膨胀系数为2.65*10-5 K-1,二者差异度31.19%。建立了织态结构-石墨烯层间膨胀系数-层间原子作用力三者之间的定量关系,并能够直接对应于化工操作条件(如甲烷沉积温度、浓度等,见发表论文中图5a-b)。


Fig. 5 The influence of CVI parameters on the variation of CTE and Ae values. (a) CTE as function of methane partial pressure and temperature; (b) CTE as a function of optical texture degree (Ae values) and temperature. The arrows in (b) indicate the direction of increasing CH4 pressure(in ZAMM93(5):338-345(2013)).

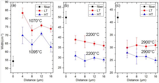
Fig.8. G band’s line width as a function of the distance from the fiber surface: (a) as deposited, (b) after HTT at 2200℃, (c) after HTT at 2900℃. The plotted values are the mean values with standard deviations(in ZAMM93(5):329-337(2013)).
通过激光探针拉曼光谱分析了不同织构热解炭中的原子缺陷,同样发现石墨烯面内原子缺陷与其织态结构密切相关(见发表论文中图8a-c)。两项研究共同支持如下结论,即在化学反应-扩散相互作用过程中形成的石墨烯面内原子缺陷,是跨尺度影响并最终决定热解炭材料特定织态结构的重要因素。该发现通过实验证明了作者等人提出的“Particle-Filler”化学生长模型(Carbon 40:2529(2002)),对炭材料、氮化硼等强共价键二维材料的多尺度结构调控和性能实现有指导意义。
上述研究得到了中国科学院知识创新工程、多相复杂系统国家重点实验室基金、德国SFB551联合项目的资金支持。
(材料化学与应用技术创新团队)