科研进展

sp杂化氮掺杂石墨炔在氧还原应用方面的重要进展在Nature Chemistry上发表

文章来源:发布时间:2018-08-23打印】【关闭

    燃料电池具有零污染、能量转化效率高、适用范围广泛等众多优点,使其成为最具前景的新型能源转化装置之一。燃料电池的阴极氧还原反应(ORR)是一个动力学迟缓的过程,需要在催化剂的作用下才能输出有效的电流密度。传统的 ORR 催化剂主要为价格昂贵的铂类材料。在燃料电池发电系统中,燃料电池电堆成本占总成本的50%以上,而铂类贵金属催化剂又占电堆成本的50%以上。因此,开发价格低廉的非贵金属ORR催化剂是促进燃料电池规模应用的必然选择。近年来的研究证实,氮掺杂碳基催化剂具有良好的ORR催化活性和稳定性,有望取代铂类催化剂在燃料电池中的应用。氮掺杂构型有很多不同的形式,包括吡啶氮、亚胺氮、吡咯氮、氨基氮、腈基氮、石墨氮和氧化氮等。一般认为吡啶氮的存在创造了ORR活性位点,而其它高性能的氮掺杂类型鲜有报道。

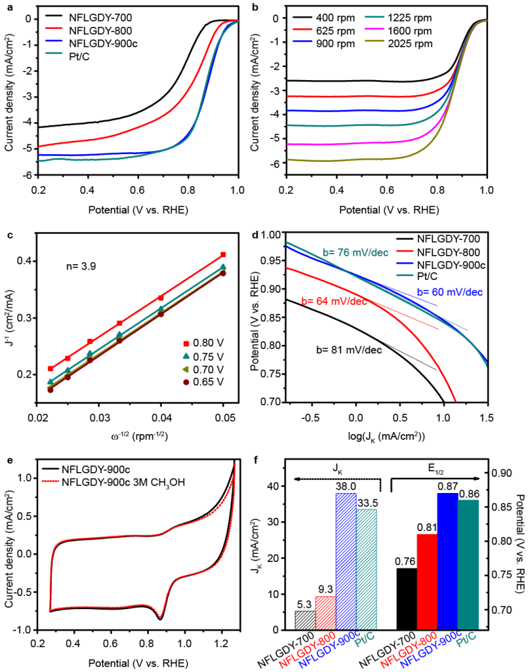
    中科院过程工程研究所生化工程国家重点实验室王丹研究员团队及其合作者成功研发了一种sp杂化氮掺杂的石墨炔,在氧还原电催化领域取得了突破性进展。通过周环反应成功在薄层石墨炔的炔键上引入了新型的sp杂化氮原子,实现了氮的定点、定量掺杂(图1)。与其它形式的氮构型相比,sp杂化氮原子的引入使得周围碳原子带有更多的正电荷,更有利于O2的吸附和活化,使电子更易转移到催化剂表面,能够显著提高ORR催化性能。碱性条件下,半波电位(E1/2)为0.87 V,动力学电流密度(Jk)为38.0 mA/c㎡,均优于商业Pt/C催化剂,并表现出更好的稳定性和甲醇耐受性(图2)。在酸性条件下,材料的活性虽略低于Pt/C催化剂,但仍优于其它非金属催化剂。这种氮原子可控掺杂的机理和策略为催化剂的设计提供了一种新思路,有力推动了非金属催化剂取代铂基催化剂的进程。

    相关研究结果发表在Nature Chemistry (2018, 10, 924-931, https://www.nature.com/articles/s41557-018-0100-1)上。该研究得到了国家自然科学基金(项目编号:213251052159079521401199),中国科学院创新交叉团队等项目的支持。 

 

 

1. sp杂化氮原子掺杂的石墨炔合成机理图

 

2. sp杂化氮原子掺杂石墨炔及商业Pt/C催化剂在碱性溶液中的ORR活性