科研进展

多壳层空心结构的合成及其在碱性二次电池应用方面取得重要进展

文章来源:发布时间:2017-10-20打印】【关闭

  碱性二次电池具有高的功率密度与能量密度,能够发生快速可逆的表面氧化还原反应,广泛应用于各种电力系统中。过渡金属氧化物纳米材料由于具有大比表面积、高法拉第电容,作为电极材料获得了科研人员的特别关注。但是,纳米颗粒容易团聚,会导致电化学活性表面积的降低,从而增加固相扩散的电阻。多壳层空心球的独特结构有助于攻克这一难题。 

  中科院过程工程研究所王丹研究员课题组开创了多壳层空心结构的普适合成方法——次序模板法J. Phys. Chem. C 2009, 113, 2792; Angew. Chem. Int. Ed. 2011, 50, 2738.);通过调控热处理方式实现了对壳层间距的控制(Adv. Mater. 2012, 24, 1046.;通过强化吸附金属离子提高了多壳层空心球的纯度和产率(Angew. Chem. Int. Ed. 2013, 52, 6417.);通过溶剂的选择实现了对壳层厚度的调控(Energy Environ. Sci. 2014, 7, 632.);基于金属阴离子吸附机制和Trojan催化燃烧,成功制备了系列多壳层空心球,突破了常规金属阳离子吸附的局限,可实现高价态金属氧化物多壳层空心球的合成,极大丰富了金属氧化物空心球的类别(Nature Energy 2016, 1, 16050.)。制备的金属氧化物多壳层空心球应用于染料敏化太阳能电池(Adv. Mater. 2014, 26, 905.)、锂离子电池(Nano Lett. 2014, 14, 6679; Chem. Sci. 2016, 7, 793.)、超级电容器(Adv. Sci. 2014, 1, 1400011.)等,均显示了优于纳米颗粒和单壳层空心球的优异性能。由于在多壳层领域的重要贡献,先后受邀在Energy Environ. Sci.2012, 5, 5604.)和Chem. Soc. Rev.2015, 44, 6749. 封面文章)上发表了综述。 

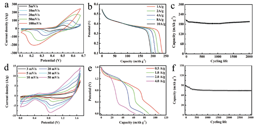
  王丹研究员及其合作者在以往成果的基础上,进一步改进了次序模板法,通过对Co/Mn离子摩尔比的调变,调控吸附了金属离子的碳球在煅烧过程中的晶化速率,实现了对复合金属氧化物多壳层空心球壳层数的控制,成功制备了七壳层的(Co2/3Mn1/3)(Co5/6Mn1/6)2O4空心球(图1。得益于复合金属氧化物的协同作用,以及多壳层空心球的大比表面积和孔体积等结构特征,当其用作电极材料能够提供更多的活性位点,并有利于电解质的传输,表现出优异的电荷存储性能和卓越的稳定性。在三电极系统中,七壳层空心球的比容量达到了创纪录的236.39 mAh g-1(电流密度1 A g-1),循环2000次后仍能保持96.07%的容量;在碱性二次电池系统中,七壳层空心球的比容量高达106.85 mAh g-1 (电流密度0.5 A g-1),循环3000次后仍能保持84.17%的容量(图2)。该成果为多壳层空心结构的可控合成,以及高效能源材料的研发开辟了新路径。 

  

 

  1. (a) 不同Co/Mn比对晶化速率和产物结构的影响示意图; (b) 七壳层(Co2/3Mn1/3)(Co5/6Mn1/6)2O4空心球的透射电镜照片   

 

  2. 七壳层(Co2/3Mn1/3)(Co5/6Mn1/6)2O4空心球的电化学性能:三电极体系下的 (a) 循环伏安曲线, (b) 恒流充放电电压曲线,

(c) 循环寿命曲线; 碱性二次电池体系的 (d) 循环伏安曲线, (e) 恒流充放电电压曲线, (f) 循环寿命曲线 

   

  3. Adv. Mater. 20172934期内封底 

  相关研究结果发表在《先进材料》上(Adv. Mater 2017, 29, 1700550.),并被选为该期杂志的内封底(图3)。该研究得到了国家自然科学基金杰出青年基金(21031005),国家自然科学基金(21590795, 21671016, 51472025, 51472244),国家重点研发计划(2016YFB0600903),中国科学院创新交叉团队,生化工程国家重点实验室等支持。 

生物剂型与生物材料研究部